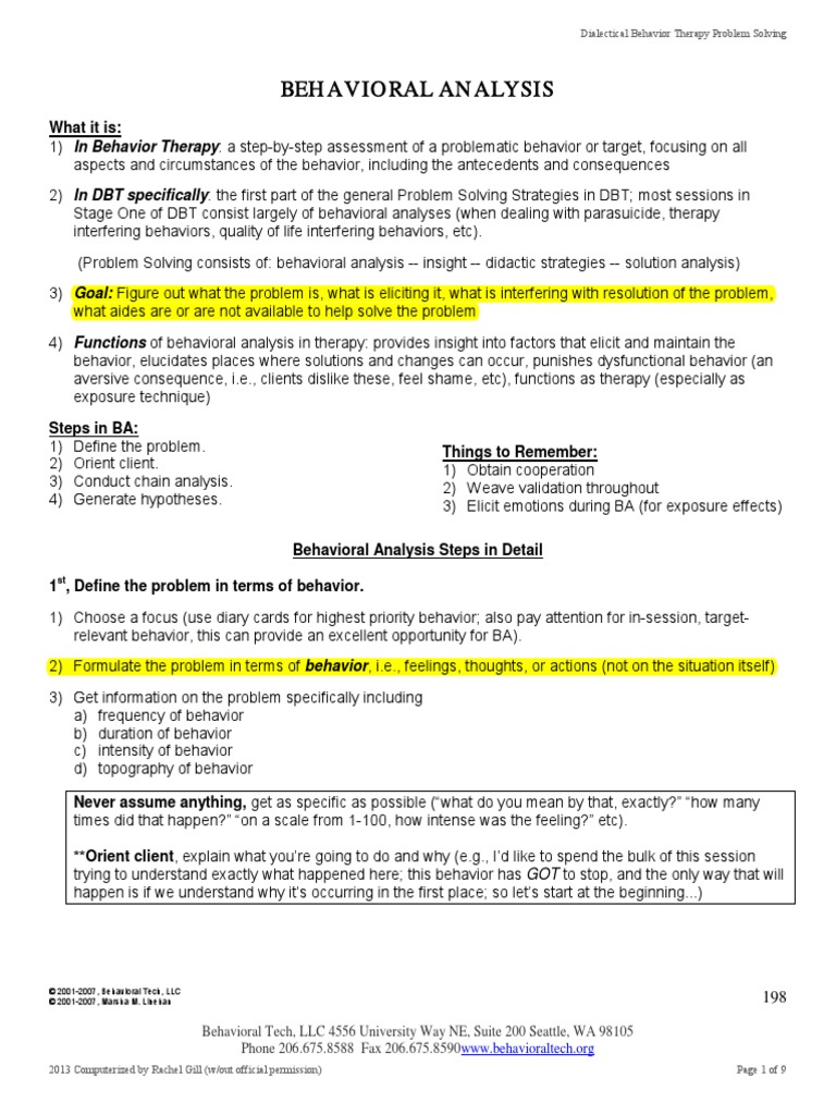
45 dbt chain analysis worksheet

How to Do a Behavior Chain Analysis - Verywell Mind Also known as functional analysis, a chain analysis is a technique designed to help a person understand the function of a particular behavior. 1 During a chain analysis of a particular problem behavior (for example, deliberate self-harm ), a person tries to uncover all the factors that led up to that behavior. DBT Worksheet Chain Analysis | DBT Worksheets DBT Worksheet Chain Analysis - These worksheets aid you practice DBT skills. These worksheets give in-depth guidelines for exactly how to utilize the DBT abilities. What are DBT Worksheets? Dialectical behavior modification worksheets are used to assist clients discover and practice abilities learned in therapy.

DBT Chain Analysis Worksheet PDF - TherapyByPro DBT Chain Analysis Worksheet PDF. In DBT, chain analysis, also known as functional analysis, is a skill designed to help a person understand the relationship between a problem behavior and the factors that led up to that behavior. This chain analysis worksheet will help your clients uncover all the links in the chain that resulted in their ...

Dbt chain analysis worksheet

Dbt chain analysis worksheet

DBT Behavior Chain Analysis Therapy Worksheet DBT Worksheet - Etsy Purchased item: DBT Behavior Chain Analysis, Therapy worksheet, DBT worksheet for adults and teens, coping skills, social psychology, therapy office decor. melissaemery9955 Jul 20, 2022. PDF Behavior Chain Analysis - UNC Clinical Lecture Series and Institutes Behavior Chain Analysis - UNC Clinical Lecture Series and Institutes DBT Chain Analysis Worksheet Fillable | DBT Worksheets DBT Chain Analysis Worksheet Fillable- You've come to the right location if you're questioning what DBT Worksheets are. These worksheets help you practice DBT skills. These abilities can be applied in a variety of ways to enhance bothersome scenarios. These worksheets offer thorough guidelines for exactly how to utilize the DBT abilities.

Dbt chain analysis worksheet. Dialectical Behavior Therapy (DBT) Worksheets - Psychology Tools DBT target behavior chain analysis worksheet download archive.org DBT behavior chain & solution analysis worksheet (fillable) download archived copy DEAR MAN GIVE FAST handout & worksheet download archived copy Understanding distress intolerance download Accepting distress download Improving distress download Tolerating distress download Chain Analysis - Mindfully Cat Chain analysis will help you to analyze a situation where you engaged in a problematic behavior, including determining the contributing factors and creating a plan for preventing the behavior in the future. Resources from "DBT Skills Training Handouts and Worksheets" by Marsha M. Linehan Chain Analysis (p. 20) DBT Behavior Chain Analysis Worksheet | DBT Worksheets DBT Behavior Chain Analysis Worksheet - These worksheets aid you exercise DBT skills. These worksheets provide in-depth directions for how to use the DBT skills. What are DBT Worksheets? Dialectical behavior therapy worksheets are used to help customers learn about and also exercise skills found out in treatment. This resource publication has ... DBT Chain Analysis Worksheet | DBT Worksheets DBT Chain Analysis Worksheet - You've come to the right location if you're questioning what DBT Worksheets are. These worksheets help you practice DBT abilities. These skills can be applied in a variety of means to boost troublesome situations. These worksheets give thorough guidelines for how to utilize the DBT skills.

What Is Worry? - Psychology Tools Worry is a chain of thoughts and images, negatively affect-laden and relatively uncontrollable. It represents an attempt to engage in mental problem-solving on an issue whose outcome is uncertain but contains the possibility of one or more negative outcomes. Consequently, worry relates closely to the fear process. PDF DBT Handouts and Worksheets - General Title: DBT Handouts and Worksheets - General.pdf Author: Eric Created Date: 11/11/2015 9:00:09 PM DBT Printables: Bingo Worksheet & DBT Skills Cheat Sheet DBT Worksheets, Binders, and Resources DBT can be considered a resource-heavy therapy model. Many approaches to psychotherapy (like psychodynamic therapy) emphasize the healing capacity of therapeutic relationships and emotional presence in the here-and-now. Other models, like CBT, can incorporate- or even heavily rely on- worksheets and homework. DBT Worksheets for Children | Therapist Aid Download free DBT worksheets. Topics include emotional regulation, distress tolerance, mindfulness, interpersonal effectiveness, and more. Navigation. Become a Member. Worksheets. ... no worksheets match your selected filters. You can change or remove a filter, or select a different content type. Click to remove: Children or DBT. Worksheets ...

The Pragmatist Philosophy (Everything You Need To Know ... Aug 30, 2022 · Everything that is not useful, in use, is non-existent. And since money exists and quantifies everything in modern society, that is, everything that can be defined as useful and usable, it automatically follows that pragmatism is one of the characteristics of the individual that allows the existence and perpetuation of the concept of marketing ad infinitum. Printable DBT Behavior Chain Analysis Worksheet - Mental Health Worksheets This worksheet is about behavior chain analysis also known as functional analysis, which is basically a technique used to make people understand all the factors that led up to a particular behavior. A behavioral chain is a sequence of actions in which one behavior leads to another in a particular order. Web1. Gratitude - this DBT worksheet coordinates with the ABC ... The worksheet will help you to learn such skills.sion to photocopy this handout is granted to purchasers of DBT Skills Training Handouts and Worksheets, Second Edition, and DBT Skills.DBT Skills Training Handouts and Worksheets PDF Book by Marsha M. Linehan Read Online Free $40.00 $00.00 Read Online or free download DBT Skills Training Handouts ... Dbt Chain Analysis Worksheets - K12 Workbook 1. DBT Handouts and Worksheets 2. DBT Behavioural Chain Analysis Worksheet 3. GENERAL HANDOUT 7 Chain Analysis 4. General WorksHeet 2 5. INSTRUCTIONS FOR CHAIN ANALYSIS WORKSHEET 6. Sample Chapter: Chain Analysis in Dialectical Behavior Therapy 7. Reproducible Materials: DBT Skills Training Manual ... 8. RADICALLY OPEN

DBT Skills Cheat Sheet & Worksheets Bundle by Colorful Counselor

DBT Skills Cheat Sheet & Worksheets Bundle by Colorful Counselor

Worksheets & Client Forms - Carolina Integrative Psychotherapy DBT ... chain analysis diagram worksheet w soln analysis Download File four basic assumptions from dbt family skills training Download File wise mind worksheet 2015 Download File dbt nonjudgmental ver2015 Download File dbt holiday antidotes v.2018 Download File mindfully observing and describing our limits worksheet 2018 Download File

DBT Behavior Chain Analysis, Therapy worksheet, DBT worksheets, coping  skills

DBT Behavior Chain Analysis, Therapy worksheet, DBT worksheets, coping skills

Acronyms & Terms | Homeland Security - DHS Oct 04, 2022 · The DHS Acronyms, Abbreviations, and Terms (DAAT) list contains homeland security related acronyms, abbreviations, and terms.

Behavior Chain Analysis - Ep. 4e - DBT Peer Connections Emotion Regulation  Skills

Behavior Chain Analysis - Ep. 4e - DBT Peer Connections Emotion Regulation Skills

DBT Chain Analysis Worksheet Example | DBT Worksheets DBT Chain Analysis Worksheet Example - These worksheets aid you exercise DBT skills. These worksheets supply detailed guidelines for exactly how to use the DBT abilities. What are DBT Worksheets? Dialectical behavior modification worksheets are made use of to assist customers find out about as well as practice skills discovered in treatment ...

Chain Analysis Form - DIALECTICAL BEHAVIORAL TRAINING

Chain Analysis Form - DIALECTICAL BEHAVIORAL TRAINING

Behavior Chain Analysis Worksheets - K12 Workbook Displaying all worksheets related to - Behavior Chain Analysis. Worksheets are Chain analysis work, Behavioral analysis work, General handout 7 chain analysis, Instructions for chain analysis work, Behavior chain analysis information, Chain analysis of problem behavior, Reproducible materials dbt skills training handouts and, A mini dbt workbook.

Behavioral Chain Analysis: A CBT Tool - YouMeMindBody

Behavioral Chain Analysis: A CBT Tool - YouMeMindBody

Dbt Chain Analysis - Etsy Check out our dbt chain analysis selection for the very best in unique or custom, handmade pieces from our art & collectibles shops.

DBT for Individuals with Intellectual Disabilities: A Program ...

DBT for Individuals with Intellectual Disabilities: A Program ...

Study on section 8 voucher success rates - lifesatrip.shop Reply to ecological succession worksheet answers pdf Dec 14, 2021 · Volume II is a qualitative study of success rates in rural areas. The purpose of this study is to explore Section 8 success rates and the factors that affect success rates in rural areas through in-depth qualitative research at five rural public housing authorities.

Behavior chain analysis: Fill out & sign online | DocHub

Behavior chain analysis: Fill out & sign online | DocHub

Target Behaviors & Behavior Chain Analysis - DBT Self Help DBT is not about "shoulds" in fact it's actively anti-should. Try to talk about your behavior chain in the language of what you will do next time instead of changing the past. Exercises Use these worksheets to work through your behavior chains and identify your target behaviors. Behavior Chain Analysis 1 Download Behavior Chain Analysis 2 Download

Chain_Anaylsis_Worksheet.pdf - DBT Behavioral Chain Analysis ...

Chain_Anaylsis_Worksheet.pdf - DBT Behavioral Chain Analysis ...

PDF Analysis with Effective DBT Skills - University of Washington Chain Analysis with Frequently Effective DBT Skills H:\PSY_QI\Psychotherapy Handouts, Worksheets and Chapters\chain with skills ver‐1 9‐3‐13.docx Consequences • Mindfulness • Radical Acceptance • Crisis Survival • Problem Solving • GIVE Problem Action • STOP • TIPP • Emotion Regulation Action • Crisis Survival

Therapy Tools to Support Your Mental Health

Therapy Tools to Support Your Mental Health

DBT Worksheets | Therapist Aid worksheet Dialectical Behavioral Therapy (DBT) uses the concept of a reasonable, emotional, and wise mind to describe a person's thoughts and behaviors. The reasonable mind is driven by logic, the emotional mind is driven by feelings, and wise mind is a middle-ground between the two.

Dialectical Behavior Therapy (DBT) Worksheets | Psychology Tools

Dialectical Behavior Therapy (DBT) Worksheets | Psychology Tools

Behavior Chain Analysis - Help with DBT The behavior chain analysis or "BCA" is often the first step in DBT. It's also one that can be revisited throughout the course of treatment and even after. It is designed to help you process through a behavior and assess the chain of events, including vulnerability factors, triggers, thoughts, emotions, actions, and events, that lead up to the ...

behavior chain analysis worksheet: Fill out & sign online ...

behavior chain analysis worksheet: Fill out & sign online ...

DBT10. Chain Analysis — CRAFT Connect 3. As we go through a behavioral chain analysis of Andy's character from this excerpt of "The Office: Angry Andy" episode, think about one of your unwanted behavior that you could analyze using the blank "Behavior Chain Analysis Worksheet" at the end of this session. Steps 1-5 are about understanding the problem.

A Brief Introduction to Dialectical Behaviour Therapy - ppt ...

A Brief Introduction to Dialectical Behaviour Therapy - ppt ...

Chain Analysis Dbt - Etsy Check out our chain analysis dbt selection for the very best in unique or custom, handmade pieces from our templates shops.

DBT skills training handouts and worksheets - Hong Kong ...

DBT skills training handouts and worksheets - Hong Kong ...

DBT Chain Analysis Worksheet Fillable | DBT Worksheets DBT Chain Analysis Worksheet Fillable- You've come to the right location if you're questioning what DBT Worksheets are. These worksheets help you practice DBT skills. These abilities can be applied in a variety of ways to enhance bothersome scenarios. These worksheets offer thorough guidelines for exactly how to utilize the DBT abilities.

behaviourchainanalysis

behaviourchainanalysis

PDF Behavior Chain Analysis - UNC Clinical Lecture Series and Institutes Behavior Chain Analysis - UNC Clinical Lecture Series and Institutes

DBT Worksheets Bundle PDF (Editable, Fillable, Printable ...

DBT Worksheets Bundle PDF (Editable, Fillable, Printable ...

DBT Behavior Chain Analysis Therapy Worksheet DBT Worksheet - Etsy Purchased item: DBT Behavior Chain Analysis, Therapy worksheet, DBT worksheet for adults and teens, coping skills, social psychology, therapy office decor. melissaemery9955 Jul 20, 2022.

What is the Behavior Chain Analysis? - Self-Love Rainbow

What is the Behavior Chain Analysis? - Self-Love Rainbow

Chain Analysis

Chain Analysis

Thinking Your Way To Happiness | Science 2.0

Thinking Your Way To Happiness | Science 2.0

Dbt Behavioral Chain Analysis Steps Canvas Wall Art,Therapy Worksheet  Poster Modern Artwork Painting For Living Room Office Home Decoration  12''x16'' ...

Dbt Behavioral Chain Analysis Steps Canvas Wall Art,Therapy Worksheet Poster Modern Artwork Painting For Living Room Office Home Decoration 12''x16'' ...

Chain_Anaylsis_Worksheet.pdf - DBT Behavioral Chain Analysis ...

Chain_Anaylsis_Worksheet.pdf - DBT Behavioral Chain Analysis ...

Cross Sectional Formulation - Psychology Tools

Cross Sectional Formulation - Psychology Tools

Prompting event - targeting behaviors | Counseling worksheets ...

Prompting event - targeting behaviors | Counseling worksheets ...

GENERAL WORKSHEET 2 (p. 1 of 4) chain analysis of Problem ...

GENERAL WORKSHEET 2 (p. 1 of 4) chain analysis of Problem ...

Managing Problem Behaviors for 2-10 year olds:

Managing Problem Behaviors for 2-10 year olds:

dbt: behaviour chain analysis worksheet | innerlight

dbt: behaviour chain analysis worksheet | innerlight

SAGE Books - The Pocket Guide to Therapy: A 'How to' of the ...

SAGE Books - The Pocket Guide to Therapy: A 'How to' of the ...

DBT Chain Analysis Worksheet Mindfulness Coping Skill - Etsy ...

DBT Chain Analysis Worksheet Mindfulness Coping Skill - Etsy ...

Dialectical Behavior Therapy (DBT) Worksheets | Psychology Tools

Dialectical Behavior Therapy (DBT) Worksheets | Psychology Tools

DBT Chain Analysis Worksheet Mindfulness Coping Skill - Etsy ...

DBT Chain Analysis Worksheet Mindfulness Coping Skill - Etsy ...

Chain_Anaylsis_Worksheet.pdf - DBT Behavioral Chain Analysis ...

Chain_Anaylsis_Worksheet.pdf - DBT Behavioral Chain Analysis ...

Chain Analysis of Problem Behavior

Chain Analysis of Problem Behavior

Chain Analysis - DIALECTICAL BEHAVIORAL TRAINING

Chain Analysis - DIALECTICAL BEHAVIORAL TRAINING

Date: ------'--

Date: ------'--

Chain Analysis - DIALECTICAL BEHAVIORAL TRAINING

Chain Analysis - DIALECTICAL BEHAVIORAL TRAINING

DBT Chain Analysis Worksheet PDF

DBT Chain Analysis Worksheet PDF

0 DBT Behavioral Chain Analysis Worksheet - Fill and Sign ...

0 DBT Behavioral Chain Analysis Worksheet - Fill and Sign ...

behavior chain analysis worksheet: Fill out & sign online ...

behavior chain analysis worksheet: Fill out & sign online ...

Behavior Chain Analysis & Solutions | PDF | Dialectical ...

Behavior Chain Analysis & Solutions | PDF | Dialectical ...

Tools Used In DBT :: Dialectical Behavior Therapy

Tools Used In DBT :: Dialectical Behavior Therapy

INSTRUCTIONS FOR CHAIN ANALYSIS WORKSHEET

INSTRUCTIONS FOR CHAIN ANALYSIS WORKSHEET

use chain analysis to find a coping skill (dbt tips)

use chain analysis to find a coping skill (dbt tips)

DBT® Skills Training Handouts and Worksheets, Second Edition ...

DBT® Skills Training Handouts and Worksheets, Second Edition ...

Do You Use Mini-Formulations and Treatment Plans? by Kelly ...

Do You Use Mini-Formulations and Treatment Plans? by Kelly ...

Behavioral Chain Anaylsis Worksheet (By Seth Axelrod) PDF | PDF

Behavioral Chain Anaylsis Worksheet (By Seth Axelrod) PDF | PDF

Untitled

Untitled

0 Response to "45 dbt chain analysis worksheet"

Post a Comment

Iklan Atas Artikel

Iklan Tengah Artikel 1

Iklan Tengah Artikel 2

Iklan Bawah Artikel